【トピックス】

擬天然ペプチドの試験管内人工生合成系による合成技術及びその医薬品候補分子探索への応用

小松大和、後藤佑樹、菅 裕明

東大院・理、東大院・理、東大院・理

 

1.はじめに
自然界において生物は非常に多様な物質を生産する。それら『天然物』と呼ばれる物質の中には、生物活性分子が多く存在し、医薬品あるいはその候補分子として古くから研究されてきた。その中でも、微生物が産生するペプチド性の天然物には多種多様な生物活性を示すものが知られており、中分子医薬品への応用が期待されている。強い生物活性を持つペプチド性天然物には、タンパク質には見られない特殊な部分構造を持つものが多い。これらは標的結合能や細胞膜透過性、細胞内安定性といった医薬品に必要とされる物性に寄与していることが考えられ、ペプチド医薬品を開発する上でこれら特殊構造の存在が非常に重要であるといえる。

このような特殊構造を持つペプチドを、生物は生合成系と呼ばれる物質生産システムを用いて、生産している。しかし、一般に生合成系における基質特異性は厳密であることが多い。特殊ペプチドの生合成系もその例外ではなく、天然の特殊ペプチド生合成系で利用可能な基質分子は大きく限られる。これは、ペプチド性天然物を模倣した人工のペプチドを開発する上で、『医薬品として魅力的なペプチドが知られているにもかかわらず、その類縁体は限られた種類しか作ることができない』ということを意味しており、天然の生合成系をそのまま用いる戦略では、多様な人工医薬品候補となるペプチドを合成することが難しいと言えよう。

この問題の解決策として、我々は生合成に関わる酵素群を精製し、それらを試験管内で混ぜ合わせることで構築する、再構成型の試験管内生合成系に着目し、ペプチドの試験管内合成に応用した。この方法では、基質特異性が比較的寛容な酵素を自由に組み合わせることができる上、各酵素が人工ペプチドを合成するのに適した条件を探り、それを用いることができる。結果として我々は、天然物に類似した特殊構造を持つ人工ペプチドを簡便に合成できる試験管内人工生合成系の構築に成功した。本稿では我々が開発に成功した再構築型の試験管内人工生合成系についてその特長を説明すると共に、それを基盤技術とした医薬品候補分子の探索技術についても紹介する。

2.擬天然ペプチドの医薬品への可能性
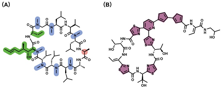
ペプチドは数個から数十個程度のアミノ酸が連なった分子の総称であり、生体内で様々な受容体や酵素と相互作用をすることによって多彩な生物活性を示し、数多くの生命現象に関与することが知られている。天然に存在するペプチドの多くは、20種類のタンパク質性アミノ酸から構成される直鎖状の分子であるが、中には主鎖N-メチル構造、D-アミノ酸構造、主鎖ヘテロ環骨格や大環状骨格といった特殊骨格を持つものも存在し1) (図1)、特に高い生物活性を持つものが多い。これらの特殊骨格を有するペプチド性天然物は、高い膜透過性・標的認識能・プロテアーゼ分解耐性を有するものが多く、医薬品としての利用価値が高い。例えば、シクロスポリンAと呼ばれる天然物ペプチドは、免疫抑制剤として医療の現場で広く使用されている2)

img1

sentence1

ペプチド性天然物にみられる特殊骨格を利用すれば、高い膜透過性・標的認識能・プロテアーゼ分解耐性といった医薬品に必要な物性を兼ね備えた人工ペプチドを開発できるはずである。そこで我々は、天然物に見られる特殊な部分構造を組み込んだ新規人工ペプチド化合物群を『擬天然ペプチド』と定義づけ3)、その生物活性分子探索への応用を目指している。擬天然ペプチドを基盤とした生物活性分子の開発は、天然物やその単純な構造変異体を活用する従来の方法論と比較して、より幅広い薬剤の創製につながる汎用的な医薬品候補開発戦略となりうると期待される。

医薬品として有望な擬天然ペプチドを新規創製するには、膨大な多様性の擬天然ペプチドライブラリーの構築と探索が求められ、高い正確性と基質許容性を両立した合成手法が必要となる。冒頭に述べた通り、天然の生合成系は精密な化合物合成が可能である一方で、基質許容性が低く、生産できる化合物の多様性が限られる場合が多い。そこで我々は、多彩な化合物を生産可能な人工生合成系を試験管内で構築することで、多様な擬天然ペプチドライブラリーの合成を実現し、さらにそこから新規生物活性分子を探索することを目指した。以降、第3節では再構成型翻訳系を基盤とした擬天然ペプチドの試験管内人工生合成系について、第4節ではそれに翻訳後修飾酵素を組み込んだ主鎖ヘテロ環骨格含有ペプチド合成系について、そして第5節では試験管内人工生合成系によって構築した擬天然ペプチドライブラリーの試験管内分子選択技術への応用展開についてそれぞれ紹介する。

3.再構築翻訳系を基盤とした特殊骨格ペプチドの試験管内合成
翻訳系とは、全ての生物に普遍的に存在するタンパク質生合成系である。翻訳系ではmRNAにコードされた塩基配列を鋳型として、それに対応するアミノ酸配列をもつタンパク質が正確に合成される。この対応づけ (遺伝暗号と呼ばれる) は、コドンと呼ばれるmRNA上の3塩基に1アミノ酸が対応することで規定されている。アミノアシルtRNA合成酵素 (ARS) が特定のtRNAとアミノ酸とを厳密に認識し、これらを結合させることで各コドンに対応したアミノアシルtRNAが合成される。この厳密に制御・合成されたアミノアシルtRNAがリボソームに取り込まれることにより、mRNAに対応したペプチド・タンパク質が精密に翻訳されている。

この翻訳反応は、関わる酵素や翻訳因子をそれぞれ精製し、試験管内で混ぜ合わせることで、試験管内でも実現できることが知られている4)。このような再構築型の翻訳系では、ランダムな塩基配列を持つmRNAの混合物を混ぜ合わせるだけで、高い多様性を持ったペプチドライブラリーを構築することができるため、機能性人工ペプチドの創製に活用されてきた。しかし、前述の通り通常の翻訳系では、ARSが許容する20種類のタンパク質性アミノ酸しか用いることができないため、医薬候補分子として魅力的な特殊骨格を含む擬天然ペプチドライブラリーの構築はできない。そこで我々は、再構成型の翻訳系を人工的に改変することで、擬天然ペプチドの合成を実現する試験管内人工翻訳系を確立した。

ARSが厳密にアミノ酸を認識する一方で、ペプチド鎖形成を担うリボソームは比較的高い基質許容性を示す。例えば、人工的に調製した非タンパク質性アミノアシル化tRNAを用いることで、非タンパク質性のアミノ酸を含むタンパク質の合成が可能である5)。我々は、tRNAのアミノアシル化を行うリボザイム『フレキシザイム』を開発し、多種多様な人工アミノアシル化tRNAの調製を実現した6)。本手法では、カルボキシ基が活性化されたアミノ酸誘導体とtRNA、そしてフレキシザイムを混合することで人工アミノアシルtRNAを調製する。この手法の利点は、これら3つの試薬を混ぜるだけで人工アミノアシルtRNAが調製可能であるため、非常に簡便であることと、フレキシザイムが様々なアミノ酸誘導体を基質として許容するため、汎用性が非常に高いことである。各種翻訳因子の濃度を最適化した独自の試験管内再構成型翻訳系に対して、この人工アミノアシルtRNAを添加しすることで、各コドンに割り当てられたタンパク質性アミノ酸を、自由に人工アミノ酸に置き換えて (遺伝暗号リプログラミング) 翻訳反応を実施することに成功した (図2(A))。我々はこの試験管内人工翻訳系をFIT (Flexible In vitro Translation) システムと名付け、擬天然ペプチドを簡便かつ精密に合成する基盤技術として活用している7)

img2

sentence2

FITシステムによる遺伝暗号リプログラミングの一例として、翻訳の開始コドンを書き換えることで、ペプチドのN末端に様々な人工的な構造を導入することが可能である8)。天然の真正細菌由来の翻訳系では、メチオニルtRNA合成酵素・メチオニルtRNAホルミルトランスフェラーゼの働きにより、ホルミルメチオニル開始tRNAが調製され、これが翻訳の開始コドンAUGを読み取る。その結果、N末端にホルミルメチオニンを持つペプチドのみが合成される9)。一方FITシステムでは、メチオニンを除いた翻訳溶液を作製し、ここに人工アミノアシル開始tRNAを加えることで、メチオニンの代わりに望みのアミノ酸で開始反応を行うように、翻訳系を自在に改変できる。本手法により多種多様な人工開始アミノ酸を試した結果、翻訳開始反応が非常に幅広い基質許容性を示すことが明らかになった。具体的には、全てのタンパク質性アミノ酸や多彩なN-アシルアミノ酸、また各種D-アミノ酸や短鎖ペプチドであっても開始反応が進行し、これらの特殊骨格をペプチドのN末端に導入できることが実証された8,10,11)

また、開始コドンだけでなく伸長コドンを書き換えることで、ペプチド鎖中にも多様な特殊骨格を導入することができる。例えば、各種N-メチル化アミノ酸12)・D-アミノ酸13)β-アミノ酸14)などの様々な特殊骨格を含むペプチドの翻訳合成が可能である。また、アミノ酸の代わりにヒドロキシ酸を連続導入することで、本来ポリアミドを生産する翻訳系で人工的にポリエステルを合成できることも実証している15)。これらFITシステムで導入に成功したビルディングブロックの中には、従来報告では翻訳系で導入できないとされていたものも多く含まれる。FITシステムの高い基質許容性は、競合しうる天然のアミノアシルtRNAを完全に除去できていること、また翻訳因子の濃度を人工基質に適した濃度に改変していることに由来し、試験管内再構成型の生合成系の長所を端的に表している。

更にFITシステムは、遺伝暗号リプログラミングによって局所的な特殊骨格をペプチド中に導入するだけでなく、ペプチド全体の骨格を大環状化することにも成功している16)。その具体的方法の1つとしてクロロアセチル化アミノ酸とシステインを用いたチオエーテル大環状ペプチドの合成法について紹介する。本手法では、開始コドンの遺伝暗号リプログラミングによりペプチドのN末端にN-クロロアセチル化アミノ酸を導入し、ペプチドの下流にシステイン (Cys) を配置した直鎖ペプチドを翻訳合成する。その結果、クロロアセチル基とシステインのチオール基が翻訳後に自発的に反応し、チオエーテル結合で閉環した大環状ペプチドが得られる (図2(B))。この反応は分子内選択的に進行し、ワンポットで簡便に大環状ペプチドを生産できる。また、形成されるチオエーテル架橋は、生体内のペプチドやタンパク質に見られるようなジスルフィド結合とは違い、生体の細胞質内の還元的環境下でも安定である17)。この性質は新規生物活性分子の探索を目的とした擬天然ペプチドライブラリーの構築 (後述) に適している。また、この環化手法は上述の伸長コドンの書き換え法と組み合わせることで、特殊骨格を複数もった大環状ペプチドの合成に応用することもできる。

以上、再構成型の翻訳系と人工アミノアシル化tRNAを組み合わせて構築された試験管内人工翻訳系FITシステム、及びその技術を用いてペプチドに導入することのできる特殊骨格の例を紹介した。FITシステムを用いることでこれまで合成が難しかった多様な擬天然ペプチドの簡便かつ精密な合成が実現し、擬天然ペプチド合成における実用的な基盤技術の確立に成功したといえよう。

4.翻訳後修飾酵素を用いた主鎖ヘテロ環構造含有ペプチドの試験管内合成
FITシステムを用いた遺伝暗号リプログラミングにより、N-メチル構造や大環状骨格といった多様な特殊骨格をペプチドに導入することが可能となったが、天然物には他にも多様で魅力的な特殊骨格が知られている。例えば、天然物のペプチドの中にはアゾリン骨格やアゾール骨格と言った主鎖ヘテロ環構造を持つものが存在する1)図1(B))。この主鎖ヘテロ環構造は、アミド骨格と比較して構造的に剛直であり疎水性が高く、結果としてペプチドの標的結合能や細胞膜透過能に重要な役割を果たしていると考えられる。そのため、主鎖ヘテロ環構造を有する擬天然ペプチドは、医薬品として高い利用価値が期待できる。ところが、FITシステムを含め単純な翻訳反応系では、原理的に主鎖ヘテロ環構造をペプチド中に導入できない。天然物ペプチドの生合成系では、リボソームが前駆体ペプチドを翻訳した後に、修飾酵素が巧妙に骨格変換を行うことで主鎖ヘテロ環構造を形成する例が知られている。我々はこの翻訳後修飾酵素をFITシステムと組み合わせて活用することで、さらに多彩な骨格を持つペプチドの試験管内人工生合成が可能となるのではないかと着想した。

ここではその一例として、システイン (Cys) /セリン (Ser) /スレオニン (Thr) 残基を対応するアゾリン骨格へと変換する脱水ヘテロ環化酵素PatD18)について紹介する。PatDはシアノバクチンと呼ばれるシアノバクテリア由来の天然物ペプチド生合成系の翻訳後修飾酵素である。この酵素により修飾を受ける前駆体ペプチドには2つの領域が存在し、@N末端領域に位置する強く保存されたリーダーペプチド (LP) 領域と、Aその下流に位置するCys/Ser/Thrを含むコアペプチド (CP) 領域が存在する。PatDはLP領域を認識し、その下流に位置するCys/Ser/Thr残基をチアゾリン/オキサゾリン/メチルオキサゾリン骨格へと変換する酵素である。我々はこのPatDを発現・精製し、FITシステムに混ぜ合わせることで、PatDを含んだ再構成人工翻訳系 (FIT-PatDシステム) を構築した19)。この系では、同一試験管内で転写・翻訳・アゾリン修飾の3ステップの反応が順次進行するため、適切にデザインした合成DNA断片を反応溶液に入れるだけで、ワンポットでアゾリン含有ペプチドを合成できる (図3)。

img3

図3 FIT-PatDシステムによるアゾリン含有ペプチドの翻訳合成

シアノバクテリアには複数のPatDの天然基質が存在していることから、本酵素がある程度の基質許容性を示すことは示唆されていたが、その基質許容性の詳細、つまりどの程度の配列までが基質として受け入れられるのかということや、どの様な配列がより基質として許容されやすいのか、については明らかになっていなかった。PatDによって修飾されやすい配列の傾向が明らかになれば、アゾリン含有擬天然ペプチドライブラリー構築に役立つ知見となることから、FIT-PatDシステムを用いて前駆体ペプチドの各部位に変異を導入した多種多様な基質ペプチド変異体を用意し、PatDの基質許容性を調査した。前駆体ペプチド変異体をコードした人工DNAをFIT-PatDシステムに加え、その生成物にアゾリン構造が含まれるか否かを質量分析によって調査した19,20)。その結果、PatDが当初想定されたよりも非常に高い基質許容性を示し、様々な人工基質ペプチドのCys/Ser/Thr残基をアゾリン骨格へと変換できることが明らかとなった。例えば、天然ではCPが6〜8残基長であるが、Cysを1つしか含まない2残基長の短いCPや、Cysを18個も含む36残基長の長いCPを含む人工基質ペプチドも修飾することができた。また、PatDは連続するアゾリン骨格を形成し得ないと考えられていたが、4個の連続するアゾリン骨格を形成できることも実証した。これらは、PatDが元来持つ汎用環化酵素としての潜在性を、FIT-PatDシステムの試験管内再構成条件下でうまく活かすことで、高い試験管内基質許容性を発揮できていることを示唆している。以上、多彩なアゾリン骨格を有する人工ペプチドを多数合成することが可能なFIT-PatDシステムは、アゾリン含有擬天然ペプチドライブラリーを構築する試験管内人工生合成系として高い応用可能性を有することが示された。

ここではFIT-PatDシステムの幅広い基質許容性の解明とそれを利用した多種多様なアゾリン含有ペプチドの試験管内生合成の例を紹介してきたが、PatD以外にもその他の翻訳後修飾酵素を用いることで、さらに多様な特殊構造を持つペプチドの合成が原理的に可能である。実際に、FIT-システムと複数のペプチド修飾酵素を組み合わせ、多段階の酵素反応を経てアゾール骨格や脱水アミノ酸といった複数の特殊骨格を有する擬天然ペプチドを試験管内で生合成することにも成功している21)。今後、新たな翻訳後修飾酵素を組み合わせることで、試験管内人工生合成系で合成可能な特殊骨格のバリエーションがますます増えていくことが期待される。

5.試験管内人工生合成系と試験管内分子選択法を組み合わせた医薬品候補探索技術
上述した一連の擬天然ペプチドの人工生合成技術の最大のメリットは、mRNA displayと呼ばれる試験管内分子選択法22,23)と組み合わせることで、大規模な擬天然ペプチドライブラリーを構築し、その中から望みの生物活性を有するペプチドを迅速かつ簡便に探索できる点にある。この手法では1兆種類以上という膨大な多様性を持つ擬天然ペプチドライブラリーを、自身のアミノ酸配列情報をコードしたmRNAでラベル化しながら合成することが可能である。これにより、ライブラリーの中から特定の標的タンパク質に結合するペプチドを試験管内選択し、簡便に擬天然ペプチドリガンドを同定することができる。

その一例としてここでは、がんの増殖や自己炎症性症候群などの疾患に関与するヒストンの脱メチル化酵素KDM4Aの酵素活性を阻害する擬天然ペプチドCP2.3について紹介する24) (図4)。CP2.3は大環状ペプチドを前駆体として得られた新規生物活性擬天然ペプチドである。はじめに我々はFITシステムにより構築した大環状ペプチドライブラリーから、mRNA displayを用いてKMD4Aに結合するペプチドを探索した。その結果、KDM4AにKD=29.8 nMという強力な結合親和性でアイソフォーム選択的に結合する、CP2という大環状ペプチドを得ることに成功した。しかし、その後の試験で、このペプチドが試験管内ではKDM4Aを強く阻害することを実証したものの、細胞内においては阻害活性を示さないことが明らかとなった。この原因としてCP2の細胞膜透過性とペプチダーゼ分解耐性が低かったことが考えられたため、我々はこれらの性質の向上を目指し、KDM4Aとの結合に必須でないと考えられるいくつかのアミノ酸をN-メチル構造を持つアミノ酸やD-アミノ酸といった特殊構造を持つアミノ酸に置換した。こうして我々は、細胞内でもKDM4Aの阻害活性を持つ新たな擬天然ペプチドCP2.3を得ることに成功した。このことは、N-メチル構造やD-アミノ酸構造と言った擬天然ペプチド特有の特殊構造が、従来のペプチドでは達成し得なかった医薬品として必要な性質を付与していることを示唆しており、擬天然ペプチドが新規医薬品候補分子として非常に高いポテンシャルを秘めていることを端的に示していると言えよう。

img4

sentence4

我々はこの擬天然ペプチドを用いた試験管内分子選択法をRaPID (Random non-standard Peptide Integrated Discovery) システムと名付け、医薬品候補分子を探索するプラットフォームとなりうる基盤技術として利用している。本手法の特筆すべきメリットは、@既知の天然物における生物活性に有利な部分構造を全く新しいペプチド配列という新規の全体構造に組み込むことができること、A抗体並の標的結合能と小分子並の血中安定性を併せ持つ “drug-ready” な中分子ペプチドを短期間 (通常2週間以内) に探索できること、そしてB酵素から細胞膜受容体に至るまで幅広い疾患関連タンパク質を標的として設定できることである。実際、今回紹介したCP2.3に限らず、既に多くの標的タンパク質に対して強い結合能や阻害活性を示すペプチドがRaPIDシステムによって探索・開発されている25-27)。現在、本技術は産学連携の形で実用化を進めていると共に、更に多くの特殊骨格を持つ擬天然ペプチドライブラリーを用いることができるように、RaPIDシステム自体の改良も進めている。近い将来、今までになかった擬天然ペプチドが医薬品として次々と実用化されることが期待できる。

6.おわりに
以上、擬天然ペプチドの合成を可能とした試験管内人工翻訳系であるFITシステムと、そこに翻訳後修飾酵素を組み合わせることで主鎖骨格の改変も可能としたFIT-PatDシステム、更にFITシステムによって構築した擬天然ペプチドライブラリーから医薬品候補分子を探索するRaPIDシステムを紹介した。RaPIDシステムは既に大規模ライブラリーの構築や活性擬天然ペプチドの創製の実用化を達成しており、多くの医薬品候補分子が生み出されている。この技術は、第4節で紹介した翻訳後修飾酵素とFITシステムを融合させた人工生合成系を組み合わせることが可能であり、従来では実現し得なかった多様な擬天然ペプチドを医薬品候補分子のライブラリーとして利用することが期待できる。更に、今後新たな翻訳後修飾酵素が発見されれば、それを用いて今までにない骨格を持つ擬天然ペプチドを医薬品候補として実用化できる可能性を秘めている。今後は擬天然ペプチドライブラリーのさらなる多様化に向けた研究と、それを活用した新規生物活性分子の探索の双方を展開させていく所存である。

謝辞
本研究は、東京大学大学院理学系研究科菅研究室にて行われたものです。本研究に関連する実験を進めて頂いた学生諸氏に心から感謝致します。本研究の一部は、科研費 (若手研究A・挑戦的萌芽研究・新学術領域研究)、JSTさきがけからの研究助成のもと実施したものであり、ここに感謝の意を表します。

文献
1) McIntosh, J. A., Donia, M. S., Schmidt, E. W.: Nat. Prod. Rep., 26, 537 (2009).
2) Nand, K. W., Tim, J. S., Amadeo, J. P., Steven, A. M., Chris, W. C., Roy, M. F.: Ther. Drug Monit., 9, 399 (1987).
3) Goto, Y., Suga, H.: Bull. Chem. Soc. Jpn., 91, 410 (2018).
4) Shimizu, Y., Inoue, A., Tomari, Y., Suzuki, T., Yokogawa, T., Nishikawa, K., Ueda, T.: Nat. Biotechnol., 19, 751 (2001).
5) Xie, J., Schultz, P. G.: Nat. Rev. Mol. Cell Biol., 7, 775 (2006).
6) Murakami, H., Ohta, A., Ashigai, H., Suga, H.: Nat. Methods, 3, 357 (2006).
7) Goto, Y., Katoh, T., Suga, H.: Nat. Protoc., 6, 779 (2011).
8) Goto, Y., Ohta, A., Sako, Y., Yamagishi, Y., Murakami, H., Suga, H.: ACS Chem. Biol., 3, 120 (2008).
9) Meinnel, T., Mechulam, Y., Blanquet, S.: Biochimie, 75, 1061 (1993).
10) Goto, Y., Murakami, H., Suga, H.: RNA, 14, 1390 (2008).
11) Goto, Y., Suga, H.: J. Am. Chem. Soc., 131, 5040 (2009).
12) Kawakami, T., Murakami, H., Suga, H.: Chem. Biol., 15, 32 (2008).
13) Fujino, T., Goto, Y., Suga, H., Murakami, H.: J. Am. Chem. Soc., 135, 1830 (2013).
14) Fujino, T., Goto, Y., Suga, H., Murakami, H.: J. Am. Chem. Soc., 138, 1962 (2016).
15) Ohta, A., Murakami, H., Higashimura, E., Suga, H.: Chem. Biol., 14, 1315 (2007).
16) Iwasaki, K., Goto, Y., Katoh, T., Suga, H.: Org. Biomol. Chem., 10, 5783 (2012).
17) Sako, Y., Goto, Y., Murakami, H., Suga, H.: ACS Chem. Biol., 3, 241 (2008).
18) Schmidt, E. W., Nelson, J. T., Rasko, D. A., Sudek, S., Eisen, J. A., Haygood, M. G., Ravel, J.: Proc. Natl. Acad. Sci. U.S.A., 102, 7315 (2005).
19) Goto, Y., Ito, Y., Kato, Y., Tsunoda, S., Suga, H.: Chem. Biol., 21, 766 (2014).
20) Goto, Y., Suga, H.: Chem. Lett., 45, 1247 (2016).
21) Ozaki, T., Yamashita, K., Goto, Y., Shimomura, M., Hayashi, S., Asamizu, S., Sugai, Y., Ikeda, H., Suga, H., Onaka, H.: Nat. Commun., 8, 1 (2017).
22) Roberts, R. W., Szostak, J. W.: Proc. Natl. Acad. Sci. U.S.A., 94, 12297 (1997).
23) Nemoto, N., Miyamoto-Sato, E., Husimi, Y., Yanagawa, H.: FEBS Lett., 414, 405 (1997).
24) Kawamura, A., Munzel, M., Kojima, T., Yapp, C., Bhushan, B., Goto, Y., Tumber, A., Katoh, T., King, O. N. F., Passioura, T., Walport, L. J., Hatch, S. B., Madden, S., Muller, S., Brennan, P. E., Chowdhury, R., Hopkinson, R. J., Suga, H., Schofield, C. J.: Nat. Commun., 8, (2017).
25) Tanaka, Y., Hipolito, C. J., Maturana, A. D., Ito, K., Kuroda, T., Higuchi, T., Katoh, T., Kato, H. E., Hattori, M., Kumazaki, K., Tsukazaki, T., Ishitani, R., Suga, H., Nureki, O.: Nature, 496, 247 (2013).
26) Hayashi, Y., Morimoto, J., Suga, H.: ACS Chem. Biol., 7, 607 (2012).
27) Morimoto, J., Hayashi, Y., Suga, H.: Angew. Chem. Int. Ed. Engl., 51, 3423 (2012).

to top